최소분산 포트폴리오
포트폴리오 기회집합 중에서 '분산'(위험성)을 최소로 하는 포트폴리오.
포트폴리오 기회집합? :
두 자산을 비중을 달리 투자해서 얻을 수 있는 포트폴리오의 '기회'집합
각 자산의 배분 비중을 선택함으로써 다양한 포트폴리오 구성을 생각해볼 수 있는데, 포트폴리오 기회 집합 내에서 위험성을 최소화 할 수 있는 구성을 '최소 분산 포트폴리오'라고 한다.
- 자산a와 자산b의 비중 합이 1이라고 할 때, (제약조건; s.t.(constraint)) 자산 a,b로 구성된 포트폴리오의 분산 식을 최소화 할 수 있는 각 자산의 비중을 찾을 수 있다.(목적함수)
- 제약조건을 목적함수에 적용하기 위하여 자산b를 자산 a에 대해 표현하여 포트폴리오 분산 식을 자산a에 대해 나타내면 목적함수가 자산a를 변수로 하는 다항식으로 표현되는 것을 알 수 있다.
- 이때, 식 극소화 조건에 따라 변수인 자산a에 대해 미분을 하면 포트폴리오의 분산(위험성)을 최소화 할 수 있는 자산a의 비중이 자산a와 b의 표준편차와 공분산으로 나타내진 식으로 산출된다.
무위험자산(risk-free asset) : 위험이 없는 자산
- E(r)=r & Var(r)=0 ⇒ 수익률이 확률변수가 아닌, constant
- 무위험자산의 수익률 notation : rf
위험자산만을 포함한 포트폴리오

- 위험자산 A, B, C (표준편차와 기대수익률 모두 C,B,A 순으로 높음)
- 도형 ABCY 내부 전체가 선택 가능한 포트폴리오 기회집합
- 포트폴리오 Y는 선택 가능한 극소분산 포트폴리오(Global minimum portfolio)
- AYC로 이어지는 포물선 : 선택 가능한 minimum variance portfolio의 집합
- = minimum variance set (or m.v. frontier)
- 어떤 포트폴리오 R이 주어졌을 때, 평균분산 기준에 의해 P는 위험의 측면에서 R을 dominate, Q는 수익률의 기준에서 R을 dominate ⇒ 일반적인 투자자의 경우 YC로 이어지는 포물선상에서 포트폴리오를 선택하게 된다. 이 포물선 YC를 efficient set (or e. frontier)이라고 하고, 이 포물선 상의 포트폴리오를 efficient portfolio라고 함
무위험자산을 포함한 포트폴리오

- 무위험자산 F 추가시 그림과 같은 포트폴리오 기회집합을 얻음
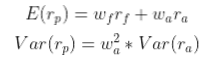
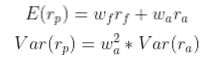
- F와 A를 조합한 포트폴리오 P를 고려해보면(wf + wa = 1), 그 기대수익률 E(rp)와 분산 Var(rp)는 각각 다음과 같이 구해짐

- 이를 통해 E(rp)와 sigma(rp)의 관계식을 1차식으로 도출 가능
- Var(rp)에서 A와 F의 공분산 항이 없으므로 위 관계식은 1차식으로 도출 ⇒ 직선 FA 도출
- *** 이러한 포트폴리오 조합 중 직선 FM을 고려해 볼 수 있음
- 직선 FM 상의 포트폴리오들은 포트폴리오 기회집합 상의 다른 모든 점에 대해 우월함 ex) FA직선상의 포트폴리오는 같은 위험 수준에서의 FM 직선 상의 포트폴리오의 기대수익률보다 낮은 기대수익률을 보임
∴ 무위험자산 포함시 직선 FM이 새로운 efficient frontier가 됨. 추후 다루겠지만 M 좌측은 대출 포트폴리오, M 우측은 차입 포트폴리오로 분류됨
반응형
'가치를 창출하는 데이터 분석 > 금융 데이터 분석 (금융학회)' 카테고리의 다른 글
| [Financial Data] 금융경제학 Basic #23 자본 시장선 (0) | 2023.10.25 |
|---|---|
| [Financial Data] 금융경제학 Basic #22 시장 포트폴리오 (0) | 2023.10.24 |
| [Financial Data] 금융경제학 Basic #20 분산 투자의 원리와 포트폴리오 (0) | 2023.10.24 |
| [Financial Data] 금융경제학 Basic #19 위험과 수익률 (0) | 2023.10.23 |
| [Financial Data] 금융경제학 Basic #18 기대 효용 이론 (0) | 2023.10.21 |