<이자율과 기간>
이자율의 기간 구조를 알게 되면 채권 시장의 종합적인 정보를 이해할 수 있고, 채권 투자에 적용되어야 할 수익률들의 수준을 우리가 알 수가 있다.

보통 이자율은 기간이 늘어나면 위와 같이 증가하는 성향을 보인다. 즉 채권을 만기의 길이에 따라 단기, 중기, 장기로 나누면 장기로 갈수록 채권의 이자율이 높아지는 경향을 보이는 것이다. 이는 중기, 장기로 갈수록 유동성 제약이나 위험을 가지고 있는 기간의 장기화 등의 사유로 투자를 꺼리게 되어 기대수익률, 즉 이자율이 높아지는 것이다. 하지만 이는 일반적인 경향일 뿐, 예외는 항상 존재한다.
<이자율의 일반적인 특징들>
이자율은 일반적으로 크게 세 가지 특징을 가지고 있다.
- 첫 번째는 서로 다른 만기더라도 이자율이 동조화 현상을 보인다는 것이다.
- 이는 예를 들자면, 단기의 수익률이 증가한다면 중기나 장기의 수익률 역시 같은 방향으로 움직이는 경향성이 있어 증가하는 패턴을 보일 가능성이 크다는 것이다. 이는 즉 각 시장이 어느 정도 연관성이 있어서 일어나는 현상이다.
- 두 번째는 수익률곡선에서 단기 수익률이 낮으면 수익률 곡선은 우 하향, 단기수익률이 상당히 높으면 우상향 하는 경향이 있다는 것이다.
- 현재의 수익률이 매우 높아 앞으로 더 높아질 수 없다고 사람들이 기대를 하면 수익률이 오히려 시간이 가면 낮아질 것이라는 기대가 생겨 우하향하는 곡선이 그려지는 것이다.
- 세 번째는 보통은 수익률곡선이 우상향 하는 것이 자연스럽다는 것이다.
- 즉, 만기가 길어지면 길어질수록 수익률은 보통 올라가는 추세를 보인다는 것이다.
1, 서로 다른 만기라도 수익률은 동조화
ex) 단기의 수익률이 증가하면 중기나 장기의 수익률도 역시 같은 방향으로 증가하는 그러한 패턴을 갖는다.
반대로 단기의 수익률이 낮아지면 중기나 장기도 역시 같은 방향으로 변화하는 점을 확인할 수 있다.
- 수익률 곡선(Yield Curve)는 단기 수익률이 낮을 때 우상향, 단기 수익률이 높을 때 우하향인 경향성을 보임.
- 수익률 곡선은 '일반적으로' 우상향 형태를 띈다.
→미래의 경제성장과 인플레이션율 상승에 대한 기대가 반영되기 때문임.
왜 수익률 곡선이 우상향한다고 여겨질까?
수익률 곡선의 정형화된 사실을 설명하기 위한 3가지 가설
<이자율의 기간 구조에 관한 이론>
앞서 명시된 이자율의 일반적인 특징들을 설명하기 위한 가설이 생겼는데, 가장 대표적인 것들은 총 3가지가 존재한다.
- 첫 번째 가설은 기대가설이다.
- 이는 단기, 중기, 장기 시장의 연관성이 상당히 커서 서로 영향을 주는 관계에 있다는 것이다. 예를 들어 단기 시장의 수익률이 낮은 수준이라면, 이는 사람들이 앞으로 이자율은 올라갈 일만 남았다는 기대로 연결되고 이가 장기 시장의 수익률을 높이는 결과를 초래한다는 것이다.
- 두 번째 가설은 시장분리가설이다.
- 이는 기대가설과는 반대로 단기, 중기, 장기 시장이 서로에게 미치는 영향이 미미하고 각자의 상황에 따라 수익률이 결정된다고 주장한다. 즉, 단기 시장은 타 시장에 비해 유동성 제약이 낮고 위험에 노출되는 시간이 짧다는 특성이 있고, 그래서 비교적 낮은 수익률이 나타난다는 것이다.
- 마지막 가설은 유동성 가설이다.
- 이는 기대가설과 시장분리가설을 융합한 가설이다. 이는 각 시장은 서로에게 어느 정도 영향을 주나, 유동성이라는 것을 사람들이 중요시 여기기에 유동성이 큰 단기시장 보다는 유동성이 작은 중기, 장기 시장에서 추가적인 보상을 요구하고, 그렇기에 이 시장들의 수익률이 높아진다는 설명을 한다.
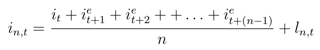
2. 기대이론(Expectations Theory)
각각의 단기 중기 장기 이러한 채권 시장들이 서로 연관성이 상당히 크기 때문에 서로 시장들간에 영향을 많이 주고 받는다라는 기본적인 가정. →따라서 장기 채권의 수익률은 단기 채권 수익률의 평균치임.
서로 다른 만기의 채권이 동조현상을 보이는지 설명 가능함.
단기 채권 이자율이 낮을 때, 만기가 길어질 수록 이자율이 상승하는 경향을 보이고 이자율이 높을 때는, 만기가 길어질 수록 이자율이 하락하는 경향을 보이는 것 또한 설명 가능!
한계 : 하지만, 왜 수익률 곡선이 '일반적으로' 우상향하는지 설명 불가능함.

3. 시장분리이론(Market segmentation Theory)
각 기간별 금융투자상품 시장의 특성이 다르고 서로 '분리'가 되어있어, 각각의 시장 특성에 따라서 수익률이 결정된다는 것.
기대 이론과 대립되는 이론, 다른 채권은 각자의 대체재가 되지 않는다는 가정.
각 채권에 대해서 잠재 투자자들의 독립된 선호가 존재하고, 그것이 각 채권의 수익률에 반영되는 것!
장기채권은 단기채권에 비해 '선호도'가 낮으므로 해당 채권의 수익률이 높게 나타난다.
→왜 수익률 곡선이 우상향하는지 설명 가능! (장기채는 단기채에 비해 일반적으로 선호도가 낮음)
→하지만, 각기 다른 이자율 채권이 동조하는 것에 대해서 설명이 불가능함.
4. 유동성 프리미엄 이론(Liquidity Premium Theory)
→ 1~2번의 절충된 이론
다른 만기의 채권은 대체관계를 지님. 그러나, 투자자들은 이자율 위험을 감안하여 만기가 짧은 채권을 선호한다. 만기가 긴 채권을 구매하도록 유도하려면 일종의 프리미엄 이자율이 잠재 투자자에게 보상되어야 한다는 이론.
Ex) 만약 단기에 경제위기로 인해 이자율이 높아 질 대로 높아진 상황이라면?
또한 채권의 수익률 곡선은 특정 시점에서 사진을 찍어놓은 것처럼 그 시점에만 한정되고, 시점이 달라지면 수익률 곡선의 형태도 달라진 다는 점을 명심해야 한다.

'가치를 창출하는 데이터 분석 > 금융 데이터 분석 (금융학회)' 카테고리의 다른 글
| [Financial Data] 금융경제학 Basic #18 기대 효용 이론 (0) | 2023.10.21 |
|---|---|
| [Financial Data] 금융경제학 Basic #17 위험태도와 화폐의 효용함수 (0) | 2023.10.21 |
| [Financial Data] 금융경제학 Basic #15 수익률 곡선의 도출 (0) | 2023.10.21 |
| [Financial Data] 금융경제학 Basic #14 할인계수와 선도이자율 (0) | 2023.10.21 |
| [Financial Data] 금융경제학 Basic #13 듀레이션과 볼록성 (0) | 2023.10.20 |